Спектроскопия в поисках за гранью Стандартной модели
Автор: Денис Аветисян
Новые исследования с использованием атомной и молекулярной спектроскопии открывают возможности для проверки фундаментальных физических теорий и поиска признаков новой физики.
Спектроскопические системы высокой точности демонстрируют различный охват в поиске новой физики, исследуя комбинации эффективных взаимодействий с электронами, мюонами, протонами и нейтронами в атомах, молекулах и экзотических системах, при этом водородоподобные атомы, молекулярные ионы, гелий, позитроний, мюоний и измерения изотопных сдвигов дополняют друг друга в определении силы и дальности этих взаимодействий.
Обзор методов прецизионных измерений в атомной и молекулярной спектроскопии для поиска взаимодействий, выходящих за рамки Стандартной модели, включая ограничения на новые переносчики сил и темную материю.
Несмотря на впечатляющие успехи Стандартной модели, остаются нерешенные вопросы, указывающие на необходимость поиска новой физики. В работе 'Atomic Spectroscopy Probes of New Physics' представлен обзор спектроскопических методов, используемых для поиска отклонений от предсказаний Стандартной модели, в частности, для исследования слабо взаимодействующих частиц, потенциальных кандидатов в темную материю. Полученные ограничения, основанные на прецизионных измерениях в атомных и молекулярных системах, позволяют сузить параметры ряда теоретических моделей, предсказывающих существование новых взаимодействий. Какие возможности открываются для дальнейшего повышения точности спектроскопических исследований и, следовательно, для более глубокого изучения фундаментальных законов природы?
За гранью Стандартной Модели: В поисках Новой Физики
Несмотря на ошеломляющий успех, Стандартная модель физики элементарных частиц оставляет без ответа ряд фундаментальных вопросов, указывая на существование явлений, выходящих за её рамки - так называемой «Новой физики». Поиск этой Новой физики требует всё более точных измерений, подталкивая границы спектроскопических методов к достижению точности вплоть до 10 в минус 15-й или 10 в минус 12-й степени при исследовании атомных и молекулярных переходов. В настоящее время возможности экспериментальных исследований часто ограничены именно точностью измерительных инструментов и чувствительностью применяемых методик. Следовательно, инновации в области прецизионных измерений имеют решающее значение для раскрытия физических законов, лежащих за пределами нашего нынешнего понимания, и углубления знаний о природе Вселенной.
Схематическая карта эффективных взаимодействий новой физики с протоном, нейтроном, электроном и мюоном демонстрирует спектроскопические системы, связывающие эти взаимодействия, при этом системы, критически важные для определения фундаментальных констант, выделены красным цветом с указанием соответствующей константы в скобках.
Невидимое под микроскопом: спектроскопия в поисках фундаментальных констант
Спектроскопия, исследующая взаимодействие света и материи на атомном и молекулярном уровнях, представляет собой мощный инструмент для проверки фундаментальных физических констант и поиска отклонений от существующих теоретических моделей. Повышение чувствительности достигается за счет использования ионов с высоким зарядом, усиливающих влияние даже самых слабых взаимодействий. Особую роль в увеличении точности измерений играют изотопы, позволяющие снизить систематические погрешности. Революционным прорывом стало появление оптических и ядерных часов, обеспечивающих беспрецедентное разрешение по времени для высокоточных измерений частоты. Благодаря этим достижениям, ученые могут с невиданной ранее точностью исследовать структуру материи и фундаментальные законы Вселенной, открывая новые горизонты в понимании окружающего мира.
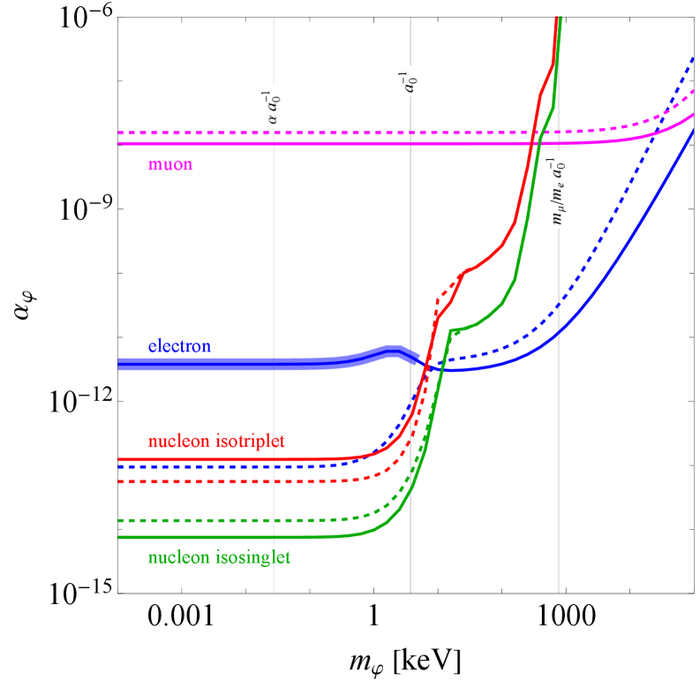
Глобальный анализ прецизионных спектроскопических данных позволил установить ограничения на спин-независимые взаимодействия и одновременно определить фундаментальные константы, демонстрируя, что для моделей тёмного фотона, B−L-бозона, скалярного бозона Хиггса и скалярного "featheron" (соответственно красным, чёрным, синим и фиолетовым цветами) существуют определённые диапазоны масс посредника (сплошные и пунктирные линии), где вероятность обнаружения новой физики выше стандартной модели более чем на 4σ.
Пределы Новой Физики: Что Говорят Точные Спектры
Высокоточные спектроскопические измерения служат строгим тестом для теоретических моделей, выходящих за рамки Стандартной модели физики элементарных частиц. Интерпретация этих ограничений осуществляется в рамках эффективной теории поля, которая позволяет связать наблюдаемые эффекты с потенциальными новыми взаимодействиями. Особое внимание уделяется измерениям атомной поляризуемости, предоставляющим дополнительный способ поиска новых частиц и уточнения параметров существующих моделей. Эти исследования значительно сужают область возможных значений для параметров гипотетических частиц, таких как темный фотон, скалярные частицы, взаимодействующие с бозоном Хиггса, и так называемые "перовые" скаляры, а также бозоны, связанные с сохранением барионного и лептонного чисел. Анализ данных выявил потенциальный избыток сигналов в моделях, описывающих взаимодействие со скалярными частицами, связанными с бозоном Хиггса и "перовыми" скалярами, с уровнем статистической значимости 2.6σ, что указывает на необходимость дальнейших исследований.
За пределами симметрий: В поисках новых взаимодействий
Нарушение CP-симметрии, фундаментального принципа, гласящего, что физические законы остаются неизменными при одновременном изменении заряда и пространственной четности, представляет собой убедительное свидетельство существования физики за пределами Стандартной модели. В настоящее время, высокоточные спектроскопические исследования используются для поиска едва уловимых эффектов, связанных с нарушением CP-симметрии в предсказанных новыми физическими моделями. Эта непрерывная охота за новыми частицами и взаимодействиями обусловлена стремлением разрешить нерешенные загадки в физике элементарных частиц и космологии. Такие достижения не только расширяют границы точности измерений, но и углубляют понимание фундаментальных законов природы, открывая новые перспективы в изучении Вселенной.
Исследование, представленное в статье, демонстрирует, как точные спектроскопические измерения могут служить инструментом для проверки фундаментальных границ Стандартной модели. Подобно тому, как деконструкция сложной системы позволяет выявить скрытые взаимосвязи, так и анализ спектров атомов и молекул открывает возможности для поиска новых физических явлений. Как заметил Георг Вильгельм Фридрих Гегель: «Всё реальное - рационально, и всё рациональное - реально». Эта фраза отражает стремление учёных найти рациональное объяснение наблюдаемым явлениям, а также указывает на то, что реальность не является статичной, а постоянно развивается и познаётся через призму логики и анализа, что особенно важно в контексте поиска взаимодействий, выходящих за рамки известной физики.
Куда смотрит спектр?
Представленный анализ, как и любая попытка заглянуть за рамки Стандартной модели, обнажает скорее границы инструментария, чем истинные пределы реальности. Точность спектроскопических измерений растет экспоненциально, но фундаментальный вопрос остается: что, если новые взаимодействия проявляются не в виде слабых сигналов, а в систематических ошибках, замаскированных под несовершенство приборов? Погоня за "новой физикой" рискует превратиться в утонченную охоту за артефактами.
Перспективы лежат не только в увеличении точности, но и в расширении спектра исследуемых систем. Молекулярные спектры, будучи сложнее атомных, предлагают больше степеней свободы для проявления скрытых взаимодействий, но и требуют более изощренных методов анализа. Попытки моделирования сложных молекул, подверженных воздействию гипотетических полей, неизбежно наталкиваются на предел вычислительных возможностей, заставляя выбирать между точностью и полнотой картины.
В конечном итоге, задача не в том, чтобы найти подтверждение существующим теориям "темной материи" или "новых сил", а в том, чтобы создать инструменты, способные уловить любое отклонение от предсказанного поведения. Ведь самое интересное часто скрывается не там, где мы ищем, а в тех самых "погрешностях", которые мы привыкли отбрасывать как шум.
Полный обзор с формулами: xpla.ru/za-granyu-standartnoj-modeli-spektroskopiya-na-sluzhbe-novoj-fiziki
Оригинал статьи: https://arxiv.org/pdf/2602.20750.pdf
Связаться с автором: linkedin.com/in/avetisyan

































