Давайте рассмотрим принцип преломления световой волны:
Причина преломления — разность скоростей света в разных средах.
При переходе света из менее плотной оптической среды в более плотную скорость уменьшается, и угол преломления меньше угла падения.
При переходе света из более плотной оптической среды в менее плотную скорость увеличивается, и угол преломления больше угла падения.
Так хорошо, угол преломления зависит от скорости распространения света в разных средах, далее я пошел смотреть, а меняется ли длина волны от скорости распространения света и оказывается, да, меняется вот по такой формуле:
V (скорость в м/c) = λ (длинна волны м) * v (частота колебаний Гц)
К чему я все это привел тут, оказывается, что v (частота колебаний) не меняется при переходе из одной среды в другую.
И в другом источнике тоже самое писали про частоту колебаний: Важно заметить, что при переходе волны из одной среды в другую изменяются ее характеристики: скорость движения волн, длина волны. А вот частота колебания остается прежней.
И я нашел вот такую картинку:
И начинаем расписывать формулу для двух сред (в данном случае для стекла и воздуха)
V (скорость в м/c) = λ (длинна волны м) * v (частота колебаний Гц)
Стекло: 1.9795 * 10^8 (из картинки) = λ (я хочу найти длину волны) * v (частота колебаний)
Т.к частота колебаний не меняется при переходе из одной среды в другую, тогда выражаю λ из второго выражения и получаю: 294 000 000 / 656.3 * 10^-9 = 1.9795 * 10^8 / λ Отсюда λ = 4.41 * 10^-7 = 441 * 10^-9 м = 441 нм
Это получается если красный свет запустить в стекло (любой толщины даже в очень-очень тонкое) будет Фиолетовым (Не может быть!) *Фиолетовым он будет только в стекле при вылете он станет обратно красным, мало ли уточняю
Помогите разобраться в природе света, пж и найти ошибку. Пишите только конкретику, где насколько, и что в итоге. (Кто использует GPT тоже не пишите, проку от вас мало.)
И я нашел статью, где впервые была выдвинута теория взаимосвязи между m и E (уже точно самим Эйнштейном) и там тоже была ошибка... смотрим (стр.37)
Что вообще тут описывается:
Вкратце так же есть две системы в покое и в движ. испускающие в разные стороны фотоны под неким углом.
Из всего многообразия нас интересует это:
И давайте поясню, что означает каждая переменная: H0 - Энергия движ. тела до излучения фотонов E0 - Энергия покоящегося тела до излучения фотонов K0 - Кинетическая энергия движ. тела до излучения фотонов H1 - Энергия движ. тела после излучения фотонов E1 - Энергия покоящегося тела после излучения фотонов K1 - Кинетическая энергия движ. тела после излучения фотонов С - некая аддитивная постоянная
Ну и давайте чуть подробнее распишем:
Это я так "-" переношу на след. строку. И да не надо путать mv^2 / 2 в первом (индекс 0) и во втором (индекс 1) они разные
Из первого K0 = H0 - E0 , а значит C = 0 А из второго K1 ≠ H1 - E1 , а значит C ≠ 0 (скобка с L меньше нуля т.к v>0) Но Эйнштейн не замечает, и потом вычитает из первого второй и получает:
Вот только забывает про аддитивную постоянную С и формула должна выглядеть так:
У C1 знак плюс, потому что во втором случае она принимала значение <0 (т.е минус что-то), а значит при вычитании знак должен поменяться
И уже из этой формулы нельзя сделать тот вывод который сделал: "Масса тела есть мера содержащейся в нем энергии" (последний абзац пред.последней картинки)
Вообще от себя немного добавлю, ну раз уж ты выдвигаешь гипотезу о том, что "Масса тела есть мера содержащейся в нем энергии", то в формуле массы ожидается что будет энергия, а её там нету. (Ну вообще есть в виде v - скорости. В природе E и v идут рука об руку, но между ними есть тонкая грань, которую я хотел показать)
Ну вот теперь, когда мы поняли, что формула релятивистской массы не состоятельна в том виде в котором мы наблюдаем. (Я не говорю, что идея неправильная, возможно это правда, но точно не в таком виде) Мне теперь ни чего не мешает сказать, что свет - e- (Электрон) и у него есть масса.
Теперь, когда мы поняли что гипотезе (свет - e- (Электрон)) имеет место быть в нашем мире, я хочу указать на достоинства/плюсы по сравнению с другими гипотезами:
• Почему М.Фарадей смог "намагнитеть" свет? - Т.к свет - e- , а у него есть заряд при попадание в магнитное поле, он отклоняется под действием сил Кулона
• Почему Питаевский смог доказать, что свет способен намагнитить тело? - Т.к свет - e- поток частиц смог структурировать порядок e- в в-ве и появляется магнитное поле
Видно, что "до" структура e- однородна, а "после" структура стало не однородной с перевесом на низ.
• Почему при нагреве в-ва светятся? - Электрон получает достаточно энергии, чтобы вырваться наружу, как свободный e- (и мы видим свет)
• Почему при нагреве в-ва теряют магнетизм? - Огромное кол-во электронов вырываются наружу, разрушая распределение e- в в-ве
• Почему при остывании магнитные св-ва восстанавливаются? - Тело остывает, электроны перестают высвобождаться, атомы восполняют недостающие e- из окружающей среды и под действием Кулоновских сил восстанавливают электронную структуру атома.
Я считаю, что в воздухе летают/находятся множество свободных e- . И ещё я не говорю что каждый электрон - это свет, а лишь с достаточной E (энергией).
• Принцип работы компаса? - Земля имеет магнитное поле, благодаря которому свободные e- неравномерно распределяются в пространстве и стрелка компаса реагирует на такое распределение.
И в обоих случаях компас повернется в одну сторону
В доказательство гипотезы хочу представить тот факт, что на спутниках, компас меняется на противоположную полярность
Т.е в космосе практически нет свободных e- , но при этом все ещё действует магнитное поле Земли, а значит полярность меняется. Хотя японские ученые говорят о солнечной плазме, которая движется по часовой стрелке (Честно я не понял, думаю ученые тоже мало что поняли)
• Почему магнитное поле порождает ток и наоборот? - Ни кто ни кого не порождает это лишь косвенные признаки присутствия множеств e- в в-ве. Моя главная идея всей работы показать, что свет, магнетизм, ток - это все косвенные признаки одной сущности e- .
• Дифракция света (радуга), какой принцип возникновения для частиц света? - Для понимания такого явления предлагаю вспомнить одну игрушку
Теперь представим, что шарики это частицы света, а колышки - это неподвижные фракции (например в стекле)
Если бы мы представили тоже самое для твердых объектов, тогда было бы как-то так:
Шарики (частицы света) просто не могут пройти сквозь колышки, поэтому мы и не видим ни какого света (тень).
Для воздуха как-то так:
В воздухе много свободного пространства, так что свет (шарики) беспрепятственно могут проходить.
А что насчет жидкостей или твердых тел с не такой плотной структурой, тогда то мы и получаем дифракцию (радугу), где свет может пройти, но не без приятственно
Если кто не понял это призма повернутая на 900 . Снизу радуга + ульт.фиолет, сверху поток частиц (луч света)
Электрон-света проходя через подобную структуру спотыкается/ударяется об неподвижные фракции и теряет E (энергию). Цвет мы видим в зависимости от E (теплоты) электрона.
• А почему всегда 7 цветов? - Электронов света очень много и каждый вероятностно проходит каждый путь от длинного до короткого. Вообще цветов больше выходит, но наш глаз способен воспринимать только от фиолетового и выше, а красный самый энергетический до белого.
• Как работает преломление для электрона-света?
- Когда электрон-света летит на него действует сила, назовем её Fп (полет) и когда он попадает в другую среду появляется результирующая/общая сила Кулона, обозначим её как Fк (Кулон) и тогда появляется результирующая/общая сила между двух сил Fп и Fк , назовём её Fр и электрон-света отклоняется, а когда частица обратно вылетает в первоначальную среду Fк пропадает и электрон-света начинает двигаться по первоначальной траектории Fп . Т.к Fк зависит от величины заряда, а заряд электрона постоянен, то и отклонятся он будет всегда на одну и туже величину. (закон Преломления)
• Почему когда нагревается сталь она меняет цвет от красного к оранжевому, если Eк > Eоранж ? - Все дело в том, что сначала вылетают e- с внешних E (энергетических) уровней.
Атом выдуманный, просто для схематического изображения
Но когда все e- с внешних E (энергетических) уровней вылетели, то e- с более низких уровней приходится тратить E (энергию) на переходы от уровня к уровню и все меньше E (Энергии) остается на свет.
Я думаю хватит, могу так долго, но думаю главная мысль была ясна.
Надеюсь, что хоть кому-то эта статья была интересной. Это был мой взгляд на природу света, если я где-то ошибся или сказал глупость, прошу о снисхождении, все ошибаются и я в том числе. Старался найти волновую природу света, но безуспешно. Возможно я подвергся искажению, когда человек видит, то что хочет, а не правду, поэтому надеюсь на конструктивную критику.
Это статья рассказ, где я сначала расскажу, как к этому пришел поговорим, почему человечество вообще решило приписать свету волновые св-ва, потом поговорим о магнетизме, строении атомов, потом доберемся до формулы релятивисткой массы разберем ошибки и дальше будет рубрика вопрос-ответ, где я собрал все самые волнующие вопросы, которые могут возникнуть.
Мне стало интересно узнать о природе света, я слышал о корпускулярно-волновом дуализме света или по простому, что свет - это частица и волна одновременно, и это ни как не укладывалось у меня в голове как это возможно!? и залез в интернет, где наткнулся на опыт с интерференцией света:
Не долго думая, я сам решил поставить этот опыт у себя в квартире, взял фонарик взял бумагу сделал вырезы и посветил на стену и о чудо! ни чего не произошло, световые пятна были точно там же где и сделаны вырезы, но я не сдался начал делать вырезы меньше и ближе друг другу в итоге я перепробовал множество комбинаций, но так и не получил интерференцию света у себя на стене. (Вырезы по ширине варьировались от 0.5мм - 0.5см, на расстоянии 1мм-0.9 см друг от друга, и так же менял расстояние от источника света от вплотную до 15 см) Я чувствовал себя обманутым, тогда я решил найти видео, где демонстрирую интерференцию света. Видео было мало и ещё меньше кто показывал само устройство, а не результат. Но даже из тех что было я заметил одну особенность - это толщина самого экрана, где сделаны вырезы. У меня тонкая бумага, у людей на видео, было похоже на толстое не прозрачное стекло, а сам Юнг (дед на картинке) использовал картон. Тогда я подумал, а что если действительно дело в этом в толщине экрана? Гипотеза была выдвинута я сел рисовать. Хотелось сначала понять в теории, на бумаге как моя гипотеза должна выглядеть, вот что получилось:
Синим отметил световые пятна на стене, а точка откуда выходят линии - это источник света
Да понимаю рисунок чуть кривоват, т.к должно получиться симметрично отражения света, но я строил без транспортира по клеткам + все равно считаю рисунок довольно наглядным (кстати не с первого раза получился) В итоге я более сильно укоренился во мнении что свет - это частица, а не волна, но одного эксперимента и рисунка было мало так что я начал копать глубже. (кстати да я потом попробовал провернуть дело с картоном, в итоге поднеся картон в плотную к фонарику, я увидел на стене 2 световых пятна от вырезов, и сильно приглядевшись два световых "плевка" по бокам на столько невнятных, что я даже не понял, это интерференция или как?)
Природа света не вылетала у меня из головы и я сел думать, что в общем мне известно (то малое, что я знаю) и вспомнил один эффект, когда нагреваешь в-во оно начинает светится. Тогда я подумал, если мы просто наделяем в-во бóльшим кол-вом энергии откуда появляются фотоны? А т.к свет, я считаю частицей, я начал вспоминать все частицы из которых состоят тела (которые я знаю): • Протоны • Нейтроны • Электроны
Очевидно, что не протоны - т.к менялось бы само в-во, и не нейтроны т.к в-во стало быть изотопом и некоторые изотопы меняют св-ва в-ва, а некоторые вообще не стабильны (короч тоже вряд ли) И тогда я подумал, а почему бы не электрон. Ну ладно подумал я есть тупая гипотеза, что это электрон, надо проверять, как это сделать? Пораскинув мозгами я понял, что фотон света считается нейтральным, а электрон отрицательно заряженным, и тогда в голове созрел план раз уж у электрона есть заряд, то я с помощью магнита, смогу изогнуть луч света. Дождавшись ночи, когда лучше виден свет, я вооружился фонариком и магнитом, который нашел дома, стал ставить эксперимент в комнате длиной 4.5м и знаете что? Ни-че-го! Я как дебил ночью пытаюсь изогнуть свет с помощью магнита и увидеть разницу на расстоянии 4.5м, просто представьте я чувствовал себя сумасшедшим и думал, где в жизни я не там свернул, чтобы докатится до этого!
Я расстроившись лёг в кровать и начал гуглить, есть ли у света магнитные св-ва или что-то вроде, оказывается, что 200 лет назад был такой же чел, как я, который пытался примагнитить свет и у него это вышло! Звали его М.Фарадей в 1845 году провел эксперимент и как он говорит: "Мне наконец удалось намагнитить луч света!". И тогда я понял, что моя гипотеза не без почвенная, так же в статье я вычитал, что в 1960 году советский физик Л.П.Питаевский, доказал что свет способен намагнитить среду, которую он освещает. И тут тоже не понятно, как частица нейтрально заряжена может влиять на магнитную среду другого в-ва? А вот поток электронов может. Так же я не особо понял М.Фарадея на счет намагнитить фотон? я задумался, а чем вообще обусловлен магнетизм у фотона, вроде фотон считается простейшей частицей у него (фотона) нету ни чего, что могло бы придать магнитное поле. Тогда я подумал, а чем вообще обусловлен магнетизм в в-вах? Напомню, я лежу в кровати, ночь, телефон на зарядке (тянуться лень, поэтому не гуглил в интернете, хотелось дойти своим умом до казалось бы очевидного) И тогда я вновь обратился к атомному строению в-ва и представил атом водорода (H), потому что он самый простой. И тогда я понял, что заряд рядом с e- будет более отрицательным, а заряд со стороны протона более +, вот как я это вижу:
Большой "+" (протон), маленький "-" (электрон), кружок по больше орбита электрона
И тогда я понял, что магнетизм в в-ве обусловлен неравномерным распределением с -ов в атомном строении в-ва. На утро, с этой идеей я начал смотреть атомное строение разных в-в и начал с золота:
На картинке видно на сколько равномерно распределены e- на орбиталях, хорошо, а Fe (Железо) или Co (Кобальт):
Атомное строение Fe и Co. То что обведено и закрашено карандашом - общий заряд (я назвал это так) и рядом кол-во e- . Старался разбить (пунктирная линия) так что бы перевес в одну из сторон был максимальным
И все сходилось действительно, где был существенный перевес у тех элементов наблюдались магнитные св-ва, я даже узнал, что атом H (водород) магнитный, кроме одного (которого я смог найти) Mn (Марганец):
В Mn также наблюдается не равномерное распределение e- , следовательно обладает магнитными св-вами, но Mn человечество отнесло к диамагнитным в-вам на ровне с Au (золото), что получается гипотеза про распределение e- чушь, суши весла?
Я бы так не спешил, прикол в том что чистый Mn в природе нету (не знаю с чем это связано). В соединении с другими в-вами e- перераспределяются равномерно (не в самом атоме Mn, а в целом в-ве) у одного атома перекос в одну сторону у другого в другую и целом они компенсируют друг друга. Я уверен, если возможно, выделить чистый Mn, он будет магнитится не хуже Co и Fe.
Хорошо понятно, а с чего я решил, что если атом обладает магнетизмом, то и в-во в целом, тоже будет обладать магнетизмом?
Сейчас поясню, давайте рассмотрим упрощенную версию атома Fe:
"+" - Ядро атома, "Маленький круг/e- " - показывает в какой стороне большее кол-во e-. Обведенное карандашом - это общий заряд. Записи - когда я что-то узнавал новое ввел дневник и получилась история с которой я хочу поделиться.
В итоге у нас получились 2 маленьких магнитика со своими полюсами и когда 2 атома объединятся создавая большее, они встанут согласно своим полюсам, создавая ещё больший магнит и так атом за атомом, мы получаем магнитное в-во. Если проводить аналогию это, как из маленьких магнитиков, которые мы собираем вместе у нас получается один большой магнит.
У всех в-в, если атом магнитный, то и в-во магнитное за исключением H (Водород).
А что с H (Водородом)?
В ядре H (Водород) всего один p+ и его не хватает, чтобы держать другое ядро H (Водород) на расстоянии большем, чем 2R - орбиты электрона из-за этого орбиты пересекаются и образуют "необычную" молекулу, что не случается в других в-вах:
Молекула H2 (Водорода)
Так, а теперь давайте вновь вернемся к свету и вспомним лампочку (точнее принцип её работы)
Принцип работы лампочки всем известен через пружину проходит ток (ток в металле - это направленное движение электронов), пружина нагревается и светится. У меня возникает резонный вопрос откуда в вакууме (рассматриваем когда 2 вакуум, а не газ) появляется фотон и не один?
Помните гипотезу про электрон-света, давайте это предположим и как тогда выглядит работа лампочки. Поток электронов устремляется в вольфрам там он (поток заряж.частиц) встречает кучу частиц, расталкивает на своем пути всех в том числе и электроны, некоторые из них получают достаточное кол-во энергии, чтобы преодолеть все силы (Кулоновские и т.д) и вылетают из вольфрама в виде одиночных электронов. И вот так мы видим свет!
Критик: - Нет, это невозможно! Какой E (энергией) должна обладать частица, чтобы разогнаться до скорости света!
Я верил ему, а он (((
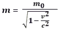
- Нельзя так считать! me меняется, т.к у тебя релятивистская частица, и масса должна быть:
Формула релятивистской массы
В курсе, но вот незадача, по-моему, Эйнштейн был не прав (чел, который вывел все эти сложные формулы) И несостоятельность его гипотез я попробую доказать
Док-во:
Теперь посмотрим на тело и узнаем сколько E (энергии) потеряло, очевидно 2hw
Дальше в своих работах Эйнштейн пишет: "Т.к тело остается в покое относительно систем (где тело покоится, без скорости, но с вылетом 2 фотонов) Для этого процесса должен выполняться закон сохр.E (энергии) и притом, согласно принципу относительности, по отношению к обеим системам (где тело двигается)"
Для тех кто не особо понял, Эйнштейн говорит, т.к в неподвижном теле, если вылетят 2 фотона в разные стороны, то тело останется в покое, а значит и при движ.теле изменений в v (скорости) не будет.
И уже отсюда делается вывод т.к тело потеряло ΔE = 2hw, то из формулы Eк = mv2 / 2 (скорость осталось не изменой), следует что уменьшилась m тела. И в следствии выдвигается гипотеза, что m (масса) и E (энергия) взаимосвязаны.
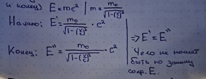
Казалось бы все хорошо, но нет. Предлагаю расписать Eпол (полную энергию) для тела до/после фотонов по формулам E=mc2 и релятивистской массы:
Т.к m0 , v - не меняется, а c - const, то следует что E’ = E’’ (Но такого не может быть по закону сохр.E). Вот и получили противоречие, вообще Эйнштейн в своих рассуждениях был не прав по поводу скорости (она будет меняться), где тело движ. и покоится.
Но это ещё не все, как оказалось потом это было не доказательство формулы E=mc2 , а лишь интерпретация другого физика...
Тут все не уместилось, скинул продолжение во 2 Части)
Согласно теории относительности Альберта Эйнштейна, энергия и масса эквивалентны. Это выражено в знаменитой формуле E=mc²
Масса может преобразовываться в энергию, и наоборот.
С примерами для преобразования массы в энергию проблем не возникает. Мы можем, например, рассказать о Солнце, об атомных электростанциях и т.д. Например, в атомном реакторе, в процессе ядерного деления урана происходит расщепление ядра урана на несколько частей, что сопровождается выделением большого количества энергии.
А вот каким образом энергия может преобразоваться в массу? Здесь несколько сложнее.
В Большом адронном коллайдере в ЦЕРНе сталкивались пучки частиц, разогнанных до околосветовых скоростей. Огромная кинетическая энергия этих частиц преобразуется в массу новых частиц, которые появляются в результате столкновения. Именно так был открыт бозон Хиггса.
Бозон Хиггса, поиски которого безуспешно велись с 1964 года, был экспериментально открыт в 2012 году, спустя полтора года начала работы Большого адронного коллайдера (БАК).
Эта частица является квантом вакуумного поля и обеспечивает массу всем известным массивным элементарным частицам.
Физические поля, например электромагнитное, знакомы всем. Разница с полем Хиггса в том, что, если убрать источник электромагнитного поля, то оно исчезнет. А вот поле Хиггса нигде не равно нулю, т.е. присутствует везде и всегда.
Чем сильнее частица взаимодействует с полем Хиггса, тем она массивнее. Частицы, не взаимодействующие с этим полем, не имеют массы, как, например, фотоны (хотя мы точно не знаем, что же такое фотон - частица или волна).
Одной из заявленных целей второго запуска БАК стал поиск тёмной материи. Пока найти тёмную материю учёным не удалось.
Бозон Хиггса — это своеобразный бизон в мире элементарных частиц, массивная и до поры неуловимая цель для физиков-экспериментаторов. Его открытие стало триумфом Стандартной модели физики элементарных частиц, подтвердив существование поля, пронизывающего всю Вселенную и наделяющего частицы массой.
Возможно, бозон Хиггса играет роль в формировании темной материи, либо взаимодействует с ней каким-то образом.
Бозон Хиггса, с массой примерно в 125 ГэВ (гигаэлектронвольт), примерно в 130 раз тяжелее протона, который является одним из компонентов атомного ядра.
Чтобы понять, насколько это много, представьте себе атом водорода, состоящий из одного протона и одного электрона. Масса электрона пренебрежимо мала по сравнению с протоном, поэтому массу атома водорода можно приблизительно считать равной массе протона. Таким образом, бозон Хиггса более чем в сто раз массивнее самого простого атома.